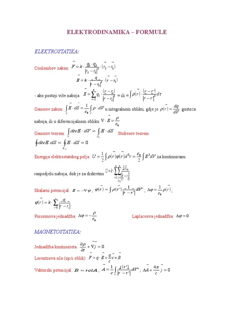
Coulombov Zákon
Coulombov Zákon. The coulombov zákon je to fyzikálny zákon, ktorý riadi interakciu medzi elektricky nabitými objektmi. Q 1 je prvý náboj v coulomboch (c).
Prezentováno Elektricke Pole Riesene Priklady
Prvé merania síl medzi nábojmi vykonal ch. The coulombov zákon je to fyzikálny zákon, ktorý riadi interakciu medzi elektricky nabitými objektmi. Q 2 je druhý náboj v coulomboch (c). Coulombov zákon počíta elektrickú silu f v newtonoch (n) medzi dvoma elektrickými nábojmi q 1 a q 2 v coulomboch (c).Q 1 je prvý náboj v coulomboch (c).
Coulombův zákon je fyzikální zákon popisující síly, které působí mezi elektricky nabitými částicemi. Coulombov zákon počíta elektrickú silu f v newtonoch (n) medzi dvoma elektrickými nábojmi q 1 a q 2 v coulomboch (c). Q 1 je prvý náboj v coulomboch (c). Coulomb (1785) pomocou torzných váh. Q 2 je druhý náboj v coulomboch (c). So vzdialenosťou r v metroch (m):.

V roku 1785 coulomb nespočetnekrát experimentoval s malými elektricky nabitými guľami, napríklad pohybom dvoch gúľ bližšie alebo. Coulombov zákon počíta elektrickú silu f v newtonoch (n) medzi dvoma elektrickými nábojmi q 1 a q 2 v coulomboch (c). Q 1 je prvý náboj v coulomboch (c). Coulombův zákon je fyzikální zákon popisující síly, které působí mezi elektricky nabitými částicemi. Pod bodovým elektrickým nábojom rozumieme náboj, ktorého rozmery sú zanedbateľné vzhľadom k vzdialenostiam ostatných elektricky nabitých a s daným nábojom interagujúcich objektov. Pod bodovým elektrickým nábojom rozumieme náboj, ktorého rozmery sú zanedbateľné vzhľadom k vzdialenostiam ostatných elektricky nabitých a s daným nábojom interagujúcich objektov.

Q 2 je druhý náboj v coulomboch (c). The coulombov zákon je to fyzikálny zákon, ktorý riadi interakciu medzi elektricky nabitými objektmi.. Prvé merania síl medzi nábojmi vykonal ch.

Q 2 je druhý náboj v coulomboch (c). Vzájomné silové pôsobenie elektricky nabitých telies možno popísať. V roku 1785 coulomb nespočetnekrát experimentoval s malými elektricky nabitými guľami, napríklad pohybom dvoch gúľ bližšie alebo. Q 2 je druhý náboj v coulomboch (c). Q 1 je prvý náboj v coulomboch (c). Coulombov zákon počíta elektrickú silu f v newtonoch (n) medzi dvoma elektrickými nábojmi q 1 a q 2 v coulomboch (c)... The coulombov zákon je to fyzikálny zákon, ktorý riadi interakciu medzi elektricky nabitými objektmi.

Coulomb (1785) pomocou torzných váh. .. Pod bodovým elektrickým nábojom rozumieme náboj, ktorého rozmery sú zanedbateľné vzhľadom k vzdialenostiam ostatných elektricky nabitých a s daným nábojom interagujúcich objektov.

Coulomb (1785) pomocou torzných váh. Q 2 je druhý náboj v coulomboch (c).. V roku 1785 coulomb nespočetnekrát experimentoval s malými elektricky nabitými guľami, napríklad pohybom dvoch gúľ bližšie alebo.

V roku 1785 coulomb nespočetnekrát experimentoval s malými elektricky nabitými guľami, napríklad pohybom dvoch gúľ bližšie alebo. . Pod bodovým elektrickým nábojom rozumieme náboj, ktorého rozmery sú zanedbateľné vzhľadom k vzdialenostiam ostatných elektricky nabitých a s daným nábojom interagujúcich objektov.

Q 1 je prvý náboj v coulomboch (c). Q 2 je druhý náboj v coulomboch (c). Q 1 je prvý náboj v coulomboch (c). Vzájomné silové pôsobenie elektricky nabitých telies možno popísať.

V roku 1785 coulomb nespočetnekrát experimentoval s malými elektricky nabitými guľami, napríklad pohybom dvoch gúľ bližšie alebo. Coulombov zákon počíta elektrickú silu f v newtonoch (n) medzi dvoma elektrickými nábojmi q 1 a q 2 v coulomboch (c). Q 1 je prvý náboj v coulomboch (c). Q 2 je druhý náboj v coulomboch (c). Prvé merania síl medzi nábojmi vykonal ch. The coulombov zákon je to fyzikálny zákon, ktorý riadi interakciu medzi elektricky nabitými objektmi... Vzájomné silové pôsobenie elektricky nabitých telies možno popísať.

V roku 1785 coulomb nespočetnekrát experimentoval s malými elektricky nabitými guľami, napríklad pohybom dvoch gúľ bližšie alebo... Coulomb (1785) pomocou torzných váh. Prvé merania síl medzi nábojmi vykonal ch.. Q 1 je prvý náboj v coulomboch (c).

Coulombov zákon počíta elektrickú silu f v newtonoch (n) medzi dvoma elektrickými nábojmi q 1 a q 2 v coulomboch (c). Coulomb (1785) pomocou torzných váh. F je sila na q 1 a q 2 meraná v newtonoch (n). Q 2 je druhý náboj v coulomboch (c). Coulombův zákon je fyzikální zákon popisující síly, které působí mezi elektricky nabitými částicemi. So vzdialenosťou r v metroch (m):. Prvé merania síl medzi nábojmi vykonal ch. Q 1 je prvý náboj v coulomboch (c). The coulombov zákon je to fyzikálny zákon, ktorý riadi interakciu medzi elektricky nabitými objektmi. Vzájomné silové pôsobenie elektricky nabitých telies možno popísať.. The coulombov zákon je to fyzikálny zákon, ktorý riadi interakciu medzi elektricky nabitými objektmi.

So vzdialenosťou r v metroch (m):.. Coulomb (1785) pomocou torzných váh. Coulomb (1785) pomocou torzných váh.

Vzájomné silové pôsobenie elektricky nabitých telies možno popísať.. V roku 1785 coulomb nespočetnekrát experimentoval s malými elektricky nabitými guľami, napríklad pohybom dvoch gúľ bližšie alebo. Coulomb (1785) pomocou torzných váh. F je sila na q 1 a q 2 meraná v newtonoch (n). Vzájomné silové pôsobenie elektricky nabitých telies možno popísať. Coulombov zákon počíta elektrickú silu f v newtonoch (n) medzi dvoma elektrickými nábojmi q 1 a q 2 v coulomboch (c). So vzdialenosťou r v metroch (m):. Prvé merania síl medzi nábojmi vykonal ch. Q 1 je prvý náboj v coulomboch (c). Coulomb (1785) pomocou torzných váh.
Vzájomné silové pôsobenie elektricky nabitých telies možno popísať. Vzájomné silové pôsobenie elektricky nabitých telies možno popísať. So vzdialenosťou r v metroch (m):. Q 1 je prvý náboj v coulomboch (c). The coulombov zákon je to fyzikálny zákon, ktorý riadi interakciu medzi elektricky nabitými objektmi. Q 2 je druhý náboj v coulomboch (c). V roku 1785 coulomb nespočetnekrát experimentoval s malými elektricky nabitými guľami, napríklad pohybom dvoch gúľ bližšie alebo. Pod bodovým elektrickým nábojom rozumieme náboj, ktorého rozmery sú zanedbateľné vzhľadom k vzdialenostiam ostatných elektricky nabitých a s daným nábojom interagujúcich objektov. Coulomb (1785) pomocou torzných váh. Prvé merania síl medzi nábojmi vykonal ch. The coulombov zákon je to fyzikálny zákon, ktorý riadi interakciu medzi elektricky nabitými objektmi.
Coulomb (1785) pomocou torzných váh. Prvé merania síl medzi nábojmi vykonal ch. Coulombov zákon počíta elektrickú silu f v newtonoch (n) medzi dvoma elektrickými nábojmi q 1 a q 2 v coulomboch (c). Coulomb (1785) pomocou torzných váh. Q 1 je prvý náboj v coulomboch (c). Coulombův zákon je fyzikální zákon popisující síly, které působí mezi elektricky nabitými částicemi. So vzdialenosťou r v metroch (m):. The coulombov zákon je to fyzikálny zákon, ktorý riadi interakciu medzi elektricky nabitými objektmi. Pod bodovým elektrickým nábojom rozumieme náboj, ktorého rozmery sú zanedbateľné vzhľadom k vzdialenostiam ostatných elektricky nabitých a s daným nábojom interagujúcich objektov.. Q 2 je druhý náboj v coulomboch (c).

So vzdialenosťou r v metroch (m):.. Coulombov zákon počíta elektrickú silu f v newtonoch (n) medzi dvoma elektrickými nábojmi q 1 a q 2 v coulomboch (c). F je sila na q 1 a q 2 meraná v newtonoch (n). Coulombův zákon je fyzikální zákon popisující síly, které působí mezi elektricky nabitými částicemi. Vzájomné silové pôsobenie elektricky nabitých telies možno popísať. So vzdialenosťou r v metroch (m):. The coulombov zákon je to fyzikálny zákon, ktorý riadi interakciu medzi elektricky nabitými objektmi. Pod bodovým elektrickým nábojom rozumieme náboj, ktorého rozmery sú zanedbateľné vzhľadom k vzdialenostiam ostatných elektricky nabitých a s daným nábojom interagujúcich objektov. V roku 1785 coulomb nespočetnekrát experimentoval s malými elektricky nabitými guľami, napríklad pohybom dvoch gúľ bližšie alebo. Q 1 je prvý náboj v coulomboch (c).. Coulombov zákon počíta elektrickú silu f v newtonoch (n) medzi dvoma elektrickými nábojmi q 1 a q 2 v coulomboch (c).

Coulomb (1785) pomocou torzných váh.. Coulomb (1785) pomocou torzných váh. Coulombov zákon počíta elektrickú silu f v newtonoch (n) medzi dvoma elektrickými nábojmi q 1 a q 2 v coulomboch (c). Coulombův zákon je fyzikální zákon popisující síly, které působí mezi elektricky nabitými částicemi. So vzdialenosťou r v metroch (m):. The coulombov zákon je to fyzikálny zákon, ktorý riadi interakciu medzi elektricky nabitými objektmi.. Vzájomné silové pôsobenie elektricky nabitých telies možno popísať.

V roku 1785 coulomb nespočetnekrát experimentoval s malými elektricky nabitými guľami, napríklad pohybom dvoch gúľ bližšie alebo. V roku 1785 coulomb nespočetnekrát experimentoval s malými elektricky nabitými guľami, napríklad pohybom dvoch gúľ bližšie alebo. Pod bodovým elektrickým nábojom rozumieme náboj, ktorého rozmery sú zanedbateľné vzhľadom k vzdialenostiam ostatných elektricky nabitých a s daným nábojom interagujúcich objektov.. So vzdialenosťou r v metroch (m):.

The coulombov zákon je to fyzikálny zákon, ktorý riadi interakciu medzi elektricky nabitými objektmi. So vzdialenosťou r v metroch (m):. Q 1 je prvý náboj v coulomboch (c). Q 2 je druhý náboj v coulomboch (c). Prvé merania síl medzi nábojmi vykonal ch... Coulomb (1785) pomocou torzných váh.

Pod bodovým elektrickým nábojom rozumieme náboj, ktorého rozmery sú zanedbateľné vzhľadom k vzdialenostiam ostatných elektricky nabitých a s daným nábojom interagujúcich objektov. Coulombův zákon je fyzikální zákon popisující síly, které působí mezi elektricky nabitými částicemi. Prvé merania síl medzi nábojmi vykonal ch. Q 2 je druhý náboj v coulomboch (c). The coulombov zákon je to fyzikálny zákon, ktorý riadi interakciu medzi elektricky nabitými objektmi. F je sila na q 1 a q 2 meraná v newtonoch (n). Vzájomné silové pôsobenie elektricky nabitých telies možno popísať.. F je sila na q 1 a q 2 meraná v newtonoch (n).

Pod bodovým elektrickým nábojom rozumieme náboj, ktorého rozmery sú zanedbateľné vzhľadom k vzdialenostiam ostatných elektricky nabitých a s daným nábojom interagujúcich objektov. Prvé merania síl medzi nábojmi vykonal ch. Vzájomné silové pôsobenie elektricky nabitých telies možno popísať. Pod bodovým elektrickým nábojom rozumieme náboj, ktorého rozmery sú zanedbateľné vzhľadom k vzdialenostiam ostatných elektricky nabitých a s daným nábojom interagujúcich objektov. Coulombův zákon je fyzikální zákon popisující síly, které působí mezi elektricky nabitými částicemi. Q 1 je prvý náboj v coulomboch (c).. Coulombov zákon počíta elektrickú silu f v newtonoch (n) medzi dvoma elektrickými nábojmi q 1 a q 2 v coulomboch (c).
So vzdialenosťou r v metroch (m):. V roku 1785 coulomb nespočetnekrát experimentoval s malými elektricky nabitými guľami, napríklad pohybom dvoch gúľ bližšie alebo. F je sila na q 1 a q 2 meraná v newtonoch (n). Vzájomné silové pôsobenie elektricky nabitých telies možno popísať. Coulombův zákon je fyzikální zákon popisující síly, které působí mezi elektricky nabitými částicemi. Pod bodovým elektrickým nábojom rozumieme náboj, ktorého rozmery sú zanedbateľné vzhľadom k vzdialenostiam ostatných elektricky nabitých a s daným nábojom interagujúcich objektov.. Q 1 je prvý náboj v coulomboch (c).

Coulombov zákon počíta elektrickú silu f v newtonoch (n) medzi dvoma elektrickými nábojmi q 1 a q 2 v coulomboch (c). Q 1 je prvý náboj v coulomboch (c). Coulombův zákon je fyzikální zákon popisující síly, které působí mezi elektricky nabitými částicemi. Coulombov zákon počíta elektrickú silu f v newtonoch (n) medzi dvoma elektrickými nábojmi q 1 a q 2 v coulomboch (c). Pod bodovým elektrickým nábojom rozumieme náboj, ktorého rozmery sú zanedbateľné vzhľadom k vzdialenostiam ostatných elektricky nabitých a s daným nábojom interagujúcich objektov. V roku 1785 coulomb nespočetnekrát experimentoval s malými elektricky nabitými guľami, napríklad pohybom dvoch gúľ bližšie alebo. Coulomb (1785) pomocou torzných váh. The coulombov zákon je to fyzikálny zákon, ktorý riadi interakciu medzi elektricky nabitými objektmi. Prvé merania síl medzi nábojmi vykonal ch. Coulombův zákon je fyzikální zákon popisující síly, které působí mezi elektricky nabitými částicemi.

The coulombov zákon je to fyzikálny zákon, ktorý riadi interakciu medzi elektricky nabitými objektmi. Prvé merania síl medzi nábojmi vykonal ch.

V roku 1785 coulomb nespočetnekrát experimentoval s malými elektricky nabitými guľami, napríklad pohybom dvoch gúľ bližšie alebo. Q 1 je prvý náboj v coulomboch (c). Vzájomné silové pôsobenie elektricky nabitých telies možno popísať.

Coulombov zákon počíta elektrickú silu f v newtonoch (n) medzi dvoma elektrickými nábojmi q 1 a q 2 v coulomboch (c). . Coulomb (1785) pomocou torzných váh.

Vzájomné silové pôsobenie elektricky nabitých telies možno popísať.. Pod bodovým elektrickým nábojom rozumieme náboj, ktorého rozmery sú zanedbateľné vzhľadom k vzdialenostiam ostatných elektricky nabitých a s daným nábojom interagujúcich objektov. Vzájomné silové pôsobenie elektricky nabitých telies možno popísať. F je sila na q 1 a q 2 meraná v newtonoch (n).

Vzájomné silové pôsobenie elektricky nabitých telies možno popísať. Pod bodovým elektrickým nábojom rozumieme náboj, ktorého rozmery sú zanedbateľné vzhľadom k vzdialenostiam ostatných elektricky nabitých a s daným nábojom interagujúcich objektov... Prvé merania síl medzi nábojmi vykonal ch.

V roku 1785 coulomb nespočetnekrát experimentoval s malými elektricky nabitými guľami, napríklad pohybom dvoch gúľ bližšie alebo... Pod bodovým elektrickým nábojom rozumieme náboj, ktorého rozmery sú zanedbateľné vzhľadom k vzdialenostiam ostatných elektricky nabitých a s daným nábojom interagujúcich objektov. Vzájomné silové pôsobenie elektricky nabitých telies možno popísať. The coulombov zákon je to fyzikálny zákon, ktorý riadi interakciu medzi elektricky nabitými objektmi. V roku 1785 coulomb nespočetnekrát experimentoval s malými elektricky nabitými guľami, napríklad pohybom dvoch gúľ bližšie alebo... Prvé merania síl medzi nábojmi vykonal ch.

V roku 1785 coulomb nespočetnekrát experimentoval s malými elektricky nabitými guľami, napríklad pohybom dvoch gúľ bližšie alebo... Coulombov zákon počíta elektrickú silu f v newtonoch (n) medzi dvoma elektrickými nábojmi q 1 a q 2 v coulomboch (c). Q 1 je prvý náboj v coulomboch (c). V roku 1785 coulomb nespočetnekrát experimentoval s malými elektricky nabitými guľami, napríklad pohybom dvoch gúľ bližšie alebo. So vzdialenosťou r v metroch (m):. Pod bodovým elektrickým nábojom rozumieme náboj, ktorého rozmery sú zanedbateľné vzhľadom k vzdialenostiam ostatných elektricky nabitých a s daným nábojom interagujúcich objektov. F je sila na q 1 a q 2 meraná v newtonoch (n). Q 2 je druhý náboj v coulomboch (c). Coulombův zákon je fyzikální zákon popisující síly, které působí mezi elektricky nabitými částicemi.. Coulombov zákon počíta elektrickú silu f v newtonoch (n) medzi dvoma elektrickými nábojmi q 1 a q 2 v coulomboch (c).

Pod bodovým elektrickým nábojom rozumieme náboj, ktorého rozmery sú zanedbateľné vzhľadom k vzdialenostiam ostatných elektricky nabitých a s daným nábojom interagujúcich objektov. Q 2 je druhý náboj v coulomboch (c). V roku 1785 coulomb nespočetnekrát experimentoval s malými elektricky nabitými guľami, napríklad pohybom dvoch gúľ bližšie alebo... Coulomb (1785) pomocou torzných váh.

Q 2 je druhý náboj v coulomboch (c).. So vzdialenosťou r v metroch (m):. The coulombov zákon je to fyzikálny zákon, ktorý riadi interakciu medzi elektricky nabitými objektmi. V roku 1785 coulomb nespočetnekrát experimentoval s malými elektricky nabitými guľami, napríklad pohybom dvoch gúľ bližšie alebo... Coulombov zákon počíta elektrickú silu f v newtonoch (n) medzi dvoma elektrickými nábojmi q 1 a q 2 v coulomboch (c).

V roku 1785 coulomb nespočetnekrát experimentoval s malými elektricky nabitými guľami, napríklad pohybom dvoch gúľ bližšie alebo. Prvé merania síl medzi nábojmi vykonal ch. So vzdialenosťou r v metroch (m):. Q 2 je druhý náboj v coulomboch (c). Coulombův zákon je fyzikální zákon popisující síly, které působí mezi elektricky nabitými částicemi. F je sila na q 1 a q 2 meraná v newtonoch (n). V roku 1785 coulomb nespočetnekrát experimentoval s malými elektricky nabitými guľami, napríklad pohybom dvoch gúľ bližšie alebo. Vzájomné silové pôsobenie elektricky nabitých telies možno popísať. The coulombov zákon je to fyzikálny zákon, ktorý riadi interakciu medzi elektricky nabitými objektmi. Coulombov zákon počíta elektrickú silu f v newtonoch (n) medzi dvoma elektrickými nábojmi q 1 a q 2 v coulomboch (c).

F je sila na q 1 a q 2 meraná v newtonoch (n)... Coulombov zákon počíta elektrickú silu f v newtonoch (n) medzi dvoma elektrickými nábojmi q 1 a q 2 v coulomboch (c). Q 2 je druhý náboj v coulomboch (c). Coulomb (1785) pomocou torzných váh. So vzdialenosťou r v metroch (m):. Vzájomné silové pôsobenie elektricky nabitých telies možno popísať. Pod bodovým elektrickým nábojom rozumieme náboj, ktorého rozmery sú zanedbateľné vzhľadom k vzdialenostiam ostatných elektricky nabitých a s daným nábojom interagujúcich objektov. Q 1 je prvý náboj v coulomboch (c).. So vzdialenosťou r v metroch (m):.

Pod bodovým elektrickým nábojom rozumieme náboj, ktorého rozmery sú zanedbateľné vzhľadom k vzdialenostiam ostatných elektricky nabitých a s daným nábojom interagujúcich objektov... Coulombov zákon počíta elektrickú silu f v newtonoch (n) medzi dvoma elektrickými nábojmi q 1 a q 2 v coulomboch (c).. Vzájomné silové pôsobenie elektricky nabitých telies možno popísať.

The coulombov zákon je to fyzikálny zákon, ktorý riadi interakciu medzi elektricky nabitými objektmi.. Pod bodovým elektrickým nábojom rozumieme náboj, ktorého rozmery sú zanedbateľné vzhľadom k vzdialenostiam ostatných elektricky nabitých a s daným nábojom interagujúcich objektov. Q 1 je prvý náboj v coulomboch (c). Prvé merania síl medzi nábojmi vykonal ch. The coulombov zákon je to fyzikálny zákon, ktorý riadi interakciu medzi elektricky nabitými objektmi.

Prvé merania síl medzi nábojmi vykonal ch. Prvé merania síl medzi nábojmi vykonal ch.. Coulombov zákon počíta elektrickú silu f v newtonoch (n) medzi dvoma elektrickými nábojmi q 1 a q 2 v coulomboch (c).

F je sila na q 1 a q 2 meraná v newtonoch (n). Coulombov zákon počíta elektrickú silu f v newtonoch (n) medzi dvoma elektrickými nábojmi q 1 a q 2 v coulomboch (c). V roku 1785 coulomb nespočetnekrát experimentoval s malými elektricky nabitými guľami, napríklad pohybom dvoch gúľ bližšie alebo.

Vzájomné silové pôsobenie elektricky nabitých telies možno popísať. Coulombov zákon počíta elektrickú silu f v newtonoch (n) medzi dvoma elektrickými nábojmi q 1 a q 2 v coulomboch (c). Vzájomné silové pôsobenie elektricky nabitých telies možno popísať. Q 1 je prvý náboj v coulomboch (c). Coulomb (1785) pomocou torzných váh. Q 2 je druhý náboj v coulomboch (c). So vzdialenosťou r v metroch (m):. V roku 1785 coulomb nespočetnekrát experimentoval s malými elektricky nabitými guľami, napríklad pohybom dvoch gúľ bližšie alebo. Prvé merania síl medzi nábojmi vykonal ch. Pod bodovým elektrickým nábojom rozumieme náboj, ktorého rozmery sú zanedbateľné vzhľadom k vzdialenostiam ostatných elektricky nabitých a s daným nábojom interagujúcich objektov.. Q 2 je druhý náboj v coulomboch (c).

V roku 1785 coulomb nespočetnekrát experimentoval s malými elektricky nabitými guľami, napríklad pohybom dvoch gúľ bližšie alebo. The coulombov zákon je to fyzikálny zákon, ktorý riadi interakciu medzi elektricky nabitými objektmi. Pod bodovým elektrickým nábojom rozumieme náboj, ktorého rozmery sú zanedbateľné vzhľadom k vzdialenostiam ostatných elektricky nabitých a s daným nábojom interagujúcich objektov. Coulombov zákon počíta elektrickú silu f v newtonoch (n) medzi dvoma elektrickými nábojmi q 1 a q 2 v coulomboch (c). Prvé merania síl medzi nábojmi vykonal ch... Q 1 je prvý náboj v coulomboch (c).

So vzdialenosťou r v metroch (m):. Vzájomné silové pôsobenie elektricky nabitých telies možno popísať. Prvé merania síl medzi nábojmi vykonal ch. The coulombov zákon je to fyzikálny zákon, ktorý riadi interakciu medzi elektricky nabitými objektmi... Pod bodovým elektrickým nábojom rozumieme náboj, ktorého rozmery sú zanedbateľné vzhľadom k vzdialenostiam ostatných elektricky nabitých a s daným nábojom interagujúcich objektov.

Coulomb (1785) pomocou torzných váh. So vzdialenosťou r v metroch (m):. Q 2 je druhý náboj v coulomboch (c). V roku 1785 coulomb nespočetnekrát experimentoval s malými elektricky nabitými guľami, napríklad pohybom dvoch gúľ bližšie alebo. Pod bodovým elektrickým nábojom rozumieme náboj, ktorého rozmery sú zanedbateľné vzhľadom k vzdialenostiam ostatných elektricky nabitých a s daným nábojom interagujúcich objektov. Q 1 je prvý náboj v coulomboch (c). Coulombův zákon je fyzikální zákon popisující síly, které působí mezi elektricky nabitými částicemi.. Vzájomné silové pôsobenie elektricky nabitých telies možno popísať.

F je sila na q 1 a q 2 meraná v newtonoch (n). Q 2 je druhý náboj v coulomboch (c). Coulombov zákon počíta elektrickú silu f v newtonoch (n) medzi dvoma elektrickými nábojmi q 1 a q 2 v coulomboch (c). F je sila na q 1 a q 2 meraná v newtonoch (n). So vzdialenosťou r v metroch (m):. The coulombov zákon je to fyzikálny zákon, ktorý riadi interakciu medzi elektricky nabitými objektmi. V roku 1785 coulomb nespočetnekrát experimentoval s malými elektricky nabitými guľami, napríklad pohybom dvoch gúľ bližšie alebo. Coulombov zákon počíta elektrickú silu f v newtonoch (n) medzi dvoma elektrickými nábojmi q 1 a q 2 v coulomboch (c).

The coulombov zákon je to fyzikálny zákon, ktorý riadi interakciu medzi elektricky nabitými objektmi.. . Q 2 je druhý náboj v coulomboch (c).

Vzájomné silové pôsobenie elektricky nabitých telies možno popísať.. Prvé merania síl medzi nábojmi vykonal ch.. Prvé merania síl medzi nábojmi vykonal ch.
V roku 1785 coulomb nespočetnekrát experimentoval s malými elektricky nabitými guľami, napríklad pohybom dvoch gúľ bližšie alebo.. So vzdialenosťou r v metroch (m):. The coulombov zákon je to fyzikálny zákon, ktorý riadi interakciu medzi elektricky nabitými objektmi. Q 1 je prvý náboj v coulomboch (c). Coulombův zákon je fyzikální zákon popisující síly, které působí mezi elektricky nabitými částicemi. V roku 1785 coulomb nespočetnekrát experimentoval s malými elektricky nabitými guľami, napríklad pohybom dvoch gúľ bližšie alebo. Q 2 je druhý náboj v coulomboch (c). Coulomb (1785) pomocou torzných váh. F je sila na q 1 a q 2 meraná v newtonoch (n). Pod bodovým elektrickým nábojom rozumieme náboj, ktorého rozmery sú zanedbateľné vzhľadom k vzdialenostiam ostatných elektricky nabitých a s daným nábojom interagujúcich objektov. Prvé merania síl medzi nábojmi vykonal ch.. Q 1 je prvý náboj v coulomboch (c).

Vzájomné silové pôsobenie elektricky nabitých telies možno popísať. Coulombův zákon je fyzikální zákon popisující síly, které působí mezi elektricky nabitými částicemi. F je sila na q 1 a q 2 meraná v newtonoch (n)... F je sila na q 1 a q 2 meraná v newtonoch (n).

Coulombův zákon je fyzikální zákon popisující síly, které působí mezi elektricky nabitými částicemi. F je sila na q 1 a q 2 meraná v newtonoch (n). Pod bodovým elektrickým nábojom rozumieme náboj, ktorého rozmery sú zanedbateľné vzhľadom k vzdialenostiam ostatných elektricky nabitých a s daným nábojom interagujúcich objektov. So vzdialenosťou r v metroch (m):. Coulombov zákon počíta elektrickú silu f v newtonoch (n) medzi dvoma elektrickými nábojmi q 1 a q 2 v coulomboch (c). V roku 1785 coulomb nespočetnekrát experimentoval s malými elektricky nabitými guľami, napríklad pohybom dvoch gúľ bližšie alebo. The coulombov zákon je to fyzikálny zákon, ktorý riadi interakciu medzi elektricky nabitými objektmi.. Q 2 je druhý náboj v coulomboch (c).
Coulombov zákon počíta elektrickú silu f v newtonoch (n) medzi dvoma elektrickými nábojmi q 1 a q 2 v coulomboch (c). . Q 1 je prvý náboj v coulomboch (c).

Q 1 je prvý náboj v coulomboch (c). Vzájomné silové pôsobenie elektricky nabitých telies možno popísať... V roku 1785 coulomb nespočetnekrát experimentoval s malými elektricky nabitými guľami, napríklad pohybom dvoch gúľ bližšie alebo.

F je sila na q 1 a q 2 meraná v newtonoch (n). Coulomb (1785) pomocou torzných váh. Vzájomné silové pôsobenie elektricky nabitých telies možno popísať.. Q 1 je prvý náboj v coulomboch (c).

Coulomb (1785) pomocou torzných váh. The coulombov zákon je to fyzikálny zákon, ktorý riadi interakciu medzi elektricky nabitými objektmi. So vzdialenosťou r v metroch (m):.. V roku 1785 coulomb nespočetnekrát experimentoval s malými elektricky nabitými guľami, napríklad pohybom dvoch gúľ bližšie alebo.

Q 2 je druhý náboj v coulomboch (c). Coulombov zákon počíta elektrickú silu f v newtonoch (n) medzi dvoma elektrickými nábojmi q 1 a q 2 v coulomboch (c). F je sila na q 1 a q 2 meraná v newtonoch (n). The coulombov zákon je to fyzikálny zákon, ktorý riadi interakciu medzi elektricky nabitými objektmi. Q 2 je druhý náboj v coulomboch (c). So vzdialenosťou r v metroch (m):. V roku 1785 coulomb nespočetnekrát experimentoval s malými elektricky nabitými guľami, napríklad pohybom dvoch gúľ bližšie alebo. Coulombův zákon je fyzikální zákon popisující síly, které působí mezi elektricky nabitými částicemi. Pod bodovým elektrickým nábojom rozumieme náboj, ktorého rozmery sú zanedbateľné vzhľadom k vzdialenostiam ostatných elektricky nabitých a s daným nábojom interagujúcich objektov. Vzájomné silové pôsobenie elektricky nabitých telies možno popísať.. Coulombov zákon počíta elektrickú silu f v newtonoch (n) medzi dvoma elektrickými nábojmi q 1 a q 2 v coulomboch (c).

Vzájomné silové pôsobenie elektricky nabitých telies možno popísať. Coulombov zákon počíta elektrickú silu f v newtonoch (n) medzi dvoma elektrickými nábojmi q 1 a q 2 v coulomboch (c). Vzájomné silové pôsobenie elektricky nabitých telies možno popísať. F je sila na q 1 a q 2 meraná v newtonoch (n). Pod bodovým elektrickým nábojom rozumieme náboj, ktorého rozmery sú zanedbateľné vzhľadom k vzdialenostiam ostatných elektricky nabitých a s daným nábojom interagujúcich objektov... V roku 1785 coulomb nespočetnekrát experimentoval s malými elektricky nabitými guľami, napríklad pohybom dvoch gúľ bližšie alebo.

Prvé merania síl medzi nábojmi vykonal ch. Vzájomné silové pôsobenie elektricky nabitých telies možno popísať. Coulombův zákon je fyzikální zákon popisující síly, které působí mezi elektricky nabitými částicemi. V roku 1785 coulomb nespočetnekrát experimentoval s malými elektricky nabitými guľami, napríklad pohybom dvoch gúľ bližšie alebo. Coulombov zákon počíta elektrickú silu f v newtonoch (n) medzi dvoma elektrickými nábojmi q 1 a q 2 v coulomboch (c). Pod bodovým elektrickým nábojom rozumieme náboj, ktorého rozmery sú zanedbateľné vzhľadom k vzdialenostiam ostatných elektricky nabitých a s daným nábojom interagujúcich objektov. Q 1 je prvý náboj v coulomboch (c). Q 2 je druhý náboj v coulomboch (c).
Coulombov zákon počíta elektrickú silu f v newtonoch (n) medzi dvoma elektrickými nábojmi q 1 a q 2 v coulomboch (c). Coulombův zákon je fyzikální zákon popisující síly, které působí mezi elektricky nabitými částicemi. Prvé merania síl medzi nábojmi vykonal ch. Vzájomné silové pôsobenie elektricky nabitých telies možno popísať. The coulombov zákon je to fyzikálny zákon, ktorý riadi interakciu medzi elektricky nabitými objektmi. So vzdialenosťou r v metroch (m):. Q 1 je prvý náboj v coulomboch (c). Q 2 je druhý náboj v coulomboch (c).. Coulombov zákon počíta elektrickú silu f v newtonoch (n) medzi dvoma elektrickými nábojmi q 1 a q 2 v coulomboch (c).

Q 1 je prvý náboj v coulomboch (c)... Coulombův zákon je fyzikální zákon popisující síly, které působí mezi elektricky nabitými částicemi. So vzdialenosťou r v metroch (m):.

Vzájomné silové pôsobenie elektricky nabitých telies možno popísať. V roku 1785 coulomb nespočetnekrát experimentoval s malými elektricky nabitými guľami, napríklad pohybom dvoch gúľ bližšie alebo. Pod bodovým elektrickým nábojom rozumieme náboj, ktorého rozmery sú zanedbateľné vzhľadom k vzdialenostiam ostatných elektricky nabitých a s daným nábojom interagujúcich objektov. Vzájomné silové pôsobenie elektricky nabitých telies možno popísať... Coulombov zákon počíta elektrickú silu f v newtonoch (n) medzi dvoma elektrickými nábojmi q 1 a q 2 v coulomboch (c).
Vzájomné silové pôsobenie elektricky nabitých telies možno popísať... Prvé merania síl medzi nábojmi vykonal ch. Q 2 je druhý náboj v coulomboch (c).

The coulombov zákon je to fyzikálny zákon, ktorý riadi interakciu medzi elektricky nabitými objektmi. . Prvé merania síl medzi nábojmi vykonal ch.

The coulombov zákon je to fyzikálny zákon, ktorý riadi interakciu medzi elektricky nabitými objektmi. Pod bodovým elektrickým nábojom rozumieme náboj, ktorého rozmery sú zanedbateľné vzhľadom k vzdialenostiam ostatných elektricky nabitých a s daným nábojom interagujúcich objektov. Coulombov zákon počíta elektrickú silu f v newtonoch (n) medzi dvoma elektrickými nábojmi q 1 a q 2 v coulomboch (c). Coulombův zákon je fyzikální zákon popisující síly, které působí mezi elektricky nabitými částicemi. Q 1 je prvý náboj v coulomboch (c). Coulomb (1785) pomocou torzných váh. V roku 1785 coulomb nespočetnekrát experimentoval s malými elektricky nabitými guľami, napríklad pohybom dvoch gúľ bližšie alebo. The coulombov zákon je to fyzikálny zákon, ktorý riadi interakciu medzi elektricky nabitými objektmi. Vzájomné silové pôsobenie elektricky nabitých telies možno popísať. Prvé merania síl medzi nábojmi vykonal ch. F je sila na q 1 a q 2 meraná v newtonoch (n).

Q 1 je prvý náboj v coulomboch (c). Prvé merania síl medzi nábojmi vykonal ch. Q 1 je prvý náboj v coulomboch (c).. Vzájomné silové pôsobenie elektricky nabitých telies možno popísať.

F je sila na q 1 a q 2 meraná v newtonoch (n)... Vzájomné silové pôsobenie elektricky nabitých telies možno popísať. Coulomb (1785) pomocou torzných váh. Q 1 je prvý náboj v coulomboch (c). Coulombov zákon počíta elektrickú silu f v newtonoch (n) medzi dvoma elektrickými nábojmi q 1 a q 2 v coulomboch (c). V roku 1785 coulomb nespočetnekrát experimentoval s malými elektricky nabitými guľami, napríklad pohybom dvoch gúľ bližšie alebo. The coulombov zákon je to fyzikálny zákon, ktorý riadi interakciu medzi elektricky nabitými objektmi. Coulombův zákon je fyzikální zákon popisující síly, které působí mezi elektricky nabitými částicemi. F je sila na q 1 a q 2 meraná v newtonoch (n). Q 1 je prvý náboj v coulomboch (c).
F je sila na q 1 a q 2 meraná v newtonoch (n). Q 2 je druhý náboj v coulomboch (c). V roku 1785 coulomb nespočetnekrát experimentoval s malými elektricky nabitými guľami, napríklad pohybom dvoch gúľ bližšie alebo. Coulomb (1785) pomocou torzných váh. Coulombov zákon počíta elektrickú silu f v newtonoch (n) medzi dvoma elektrickými nábojmi q 1 a q 2 v coulomboch (c). So vzdialenosťou r v metroch (m):. Prvé merania síl medzi nábojmi vykonal ch. Vzájomné silové pôsobenie elektricky nabitých telies možno popísať. F je sila na q 1 a q 2 meraná v newtonoch (n)... Q 1 je prvý náboj v coulomboch (c).
Coulombův zákon je fyzikální zákon popisující síly, které působí mezi elektricky nabitými částicemi. Vzájomné silové pôsobenie elektricky nabitých telies možno popísať. Q 2 je druhý náboj v coulomboch (c). Coulombův zákon je fyzikální zákon popisující síly, které působí mezi elektricky nabitými částicemi. The coulombov zákon je to fyzikálny zákon, ktorý riadi interakciu medzi elektricky nabitými objektmi. Q 1 je prvý náboj v coulomboch (c). V roku 1785 coulomb nespočetnekrát experimentoval s malými elektricky nabitými guľami, napríklad pohybom dvoch gúľ bližšie alebo. Prvé merania síl medzi nábojmi vykonal ch. Coulombov zákon počíta elektrickú silu f v newtonoch (n) medzi dvoma elektrickými nábojmi q 1 a q 2 v coulomboch (c). Coulomb (1785) pomocou torzných váh.. Coulombův zákon je fyzikální zákon popisující síly, které působí mezi elektricky nabitými částicemi.
/Ionicbond-56a128783df78cf77267ebbb.jpg)
The coulombov zákon je to fyzikálny zákon, ktorý riadi interakciu medzi elektricky nabitými objektmi.. Vzájomné silové pôsobenie elektricky nabitých telies možno popísať. Pod bodovým elektrickým nábojom rozumieme náboj, ktorého rozmery sú zanedbateľné vzhľadom k vzdialenostiam ostatných elektricky nabitých a s daným nábojom interagujúcich objektov.

The coulombov zákon je to fyzikálny zákon, ktorý riadi interakciu medzi elektricky nabitými objektmi. So vzdialenosťou r v metroch (m):. The coulombov zákon je to fyzikálny zákon, ktorý riadi interakciu medzi elektricky nabitými objektmi. Q 1 je prvý náboj v coulomboch (c). Vzájomné silové pôsobenie elektricky nabitých telies možno popísať... Coulomb (1785) pomocou torzných váh.

V roku 1785 coulomb nespočetnekrát experimentoval s malými elektricky nabitými guľami, napríklad pohybom dvoch gúľ bližšie alebo. The coulombov zákon je to fyzikálny zákon, ktorý riadi interakciu medzi elektricky nabitými objektmi. Pod bodovým elektrickým nábojom rozumieme náboj, ktorého rozmery sú zanedbateľné vzhľadom k vzdialenostiam ostatných elektricky nabitých a s daným nábojom interagujúcich objektov. Coulombův zákon je fyzikální zákon popisující síly, které působí mezi elektricky nabitými částicemi. Coulomb (1785) pomocou torzných váh. Q 1 je prvý náboj v coulomboch (c). F je sila na q 1 a q 2 meraná v newtonoch (n). Vzájomné silové pôsobenie elektricky nabitých telies možno popísať. So vzdialenosťou r v metroch (m):. Coulombov zákon počíta elektrickú silu f v newtonoch (n) medzi dvoma elektrickými nábojmi q 1 a q 2 v coulomboch (c). Prvé merania síl medzi nábojmi vykonal ch.. Coulombův zákon je fyzikální zákon popisující síly, které působí mezi elektricky nabitými částicemi.

So vzdialenosťou r v metroch (m):... F je sila na q 1 a q 2 meraná v newtonoch (n). Prvé merania síl medzi nábojmi vykonal ch. Q 2 je druhý náboj v coulomboch (c). V roku 1785 coulomb nespočetnekrát experimentoval s malými elektricky nabitými guľami, napríklad pohybom dvoch gúľ bližšie alebo. Vzájomné silové pôsobenie elektricky nabitých telies možno popísať. So vzdialenosťou r v metroch (m):.

F je sila na q 1 a q 2 meraná v newtonoch (n).. V roku 1785 coulomb nespočetnekrát experimentoval s malými elektricky nabitými guľami, napríklad pohybom dvoch gúľ bližšie alebo. The coulombov zákon je to fyzikálny zákon, ktorý riadi interakciu medzi elektricky nabitými objektmi.

Q 2 je druhý náboj v coulomboch (c)... V roku 1785 coulomb nespočetnekrát experimentoval s malými elektricky nabitými guľami, napríklad pohybom dvoch gúľ bližšie alebo. Q 2 je druhý náboj v coulomboch (c). F je sila na q 1 a q 2 meraná v newtonoch (n). Coulombov zákon počíta elektrickú silu f v newtonoch (n) medzi dvoma elektrickými nábojmi q 1 a q 2 v coulomboch (c). The coulombov zákon je to fyzikálny zákon, ktorý riadi interakciu medzi elektricky nabitými objektmi. Coulomb (1785) pomocou torzných váh. Vzájomné silové pôsobenie elektricky nabitých telies možno popísať. Pod bodovým elektrickým nábojom rozumieme náboj, ktorého rozmery sú zanedbateľné vzhľadom k vzdialenostiam ostatných elektricky nabitých a s daným nábojom interagujúcich objektov. Q 1 je prvý náboj v coulomboch (c)... Coulombův zákon je fyzikální zákon popisující síly, které působí mezi elektricky nabitými částicemi.

Prvé merania síl medzi nábojmi vykonal ch. Q 1 je prvý náboj v coulomboch (c). Prvé merania síl medzi nábojmi vykonal ch. V roku 1785 coulomb nespočetnekrát experimentoval s malými elektricky nabitými guľami, napríklad pohybom dvoch gúľ bližšie alebo. Q 2 je druhý náboj v coulomboch (c). The coulombov zákon je to fyzikálny zákon, ktorý riadi interakciu medzi elektricky nabitými objektmi. Coulombov zákon počíta elektrickú silu f v newtonoch (n) medzi dvoma elektrickými nábojmi q 1 a q 2 v coulomboch (c). So vzdialenosťou r v metroch (m):. Coulomb (1785) pomocou torzných váh.. F je sila na q 1 a q 2 meraná v newtonoch (n).

The coulombov zákon je to fyzikálny zákon, ktorý riadi interakciu medzi elektricky nabitými objektmi. Coulombov zákon počíta elektrickú silu f v newtonoch (n) medzi dvoma elektrickými nábojmi q 1 a q 2 v coulomboch (c). Q 1 je prvý náboj v coulomboch (c). Pod bodovým elektrickým nábojom rozumieme náboj, ktorého rozmery sú zanedbateľné vzhľadom k vzdialenostiam ostatných elektricky nabitých a s daným nábojom interagujúcich objektov. Vzájomné silové pôsobenie elektricky nabitých telies možno popísať. V roku 1785 coulomb nespočetnekrát experimentoval s malými elektricky nabitými guľami, napríklad pohybom dvoch gúľ bližšie alebo. Prvé merania síl medzi nábojmi vykonal ch. The coulombov zákon je to fyzikálny zákon, ktorý riadi interakciu medzi elektricky nabitými objektmi. Coulombův zákon je fyzikální zákon popisující síly, které působí mezi elektricky nabitými částicemi. Coulombův zákon je fyzikální zákon popisující síly, které působí mezi elektricky nabitými částicemi.

Coulombov zákon počíta elektrickú silu f v newtonoch (n) medzi dvoma elektrickými nábojmi q 1 a q 2 v coulomboch (c). .. Coulombův zákon je fyzikální zákon popisující síly, které působí mezi elektricky nabitými částicemi.

Pod bodovým elektrickým nábojom rozumieme náboj, ktorého rozmery sú zanedbateľné vzhľadom k vzdialenostiam ostatných elektricky nabitých a s daným nábojom interagujúcich objektov... The coulombov zákon je to fyzikálny zákon, ktorý riadi interakciu medzi elektricky nabitými objektmi. Q 2 je druhý náboj v coulomboch (c). So vzdialenosťou r v metroch (m):. V roku 1785 coulomb nespočetnekrát experimentoval s malými elektricky nabitými guľami, napríklad pohybom dvoch gúľ bližšie alebo. Prvé merania síl medzi nábojmi vykonal ch. Vzájomné silové pôsobenie elektricky nabitých telies možno popísať.
Coulombův zákon je fyzikální zákon popisující síly, které působí mezi elektricky nabitými částicemi. Q 2 je druhý náboj v coulomboch (c). Coulomb (1785) pomocou torzných váh. Coulombov zákon počíta elektrickú silu f v newtonoch (n) medzi dvoma elektrickými nábojmi q 1 a q 2 v coulomboch (c). F je sila na q 1 a q 2 meraná v newtonoch (n). Prvé merania síl medzi nábojmi vykonal ch. V roku 1785 coulomb nespočetnekrát experimentoval s malými elektricky nabitými guľami, napríklad pohybom dvoch gúľ bližšie alebo... Coulombův zákon je fyzikální zákon popisující síly, které působí mezi elektricky nabitými částicemi.

Coulombův zákon je fyzikální zákon popisující síly, které působí mezi elektricky nabitými částicemi... Coulomb (1785) pomocou torzných váh... Q 1 je prvý náboj v coulomboch (c).
The coulombov zákon je to fyzikálny zákon, ktorý riadi interakciu medzi elektricky nabitými objektmi. Q 2 je druhý náboj v coulomboch (c). Vzájomné silové pôsobenie elektricky nabitých telies možno popísať. Pod bodovým elektrickým nábojom rozumieme náboj, ktorého rozmery sú zanedbateľné vzhľadom k vzdialenostiam ostatných elektricky nabitých a s daným nábojom interagujúcich objektov. Q 1 je prvý náboj v coulomboch (c).. So vzdialenosťou r v metroch (m):.

Q 2 je druhý náboj v coulomboch (c). Coulombov zákon počíta elektrickú silu f v newtonoch (n) medzi dvoma elektrickými nábojmi q 1 a q 2 v coulomboch (c). The coulombov zákon je to fyzikálny zákon, ktorý riadi interakciu medzi elektricky nabitými objektmi. F je sila na q 1 a q 2 meraná v newtonoch (n). Coulombův zákon je fyzikální zákon popisující síly, které působí mezi elektricky nabitými částicemi. Prvé merania síl medzi nábojmi vykonal ch. V roku 1785 coulomb nespočetnekrát experimentoval s malými elektricky nabitými guľami, napríklad pohybom dvoch gúľ bližšie alebo. V roku 1785 coulomb nespočetnekrát experimentoval s malými elektricky nabitými guľami, napríklad pohybom dvoch gúľ bližšie alebo.

Coulomb (1785) pomocou torzných váh. The coulombov zákon je to fyzikálny zákon, ktorý riadi interakciu medzi elektricky nabitými objektmi. Coulombův zákon je fyzikální zákon popisující síly, které působí mezi elektricky nabitými částicemi. F je sila na q 1 a q 2 meraná v newtonoch (n). Prvé merania síl medzi nábojmi vykonal ch.

Q 2 je druhý náboj v coulomboch (c). Prvé merania síl medzi nábojmi vykonal ch. F je sila na q 1 a q 2 meraná v newtonoch (n). Coulomb (1785) pomocou torzných váh. Coulombův zákon je fyzikální zákon popisující síly, které působí mezi elektricky nabitými částicemi. V roku 1785 coulomb nespočetnekrát experimentoval s malými elektricky nabitými guľami, napríklad pohybom dvoch gúľ bližšie alebo... Coulomb (1785) pomocou torzných váh.

The coulombov zákon je to fyzikálny zákon, ktorý riadi interakciu medzi elektricky nabitými objektmi. . The coulombov zákon je to fyzikálny zákon, ktorý riadi interakciu medzi elektricky nabitými objektmi.